We will be solving interesting sets as a part of this series LRDI of the Day. I will be posting a video solution by the end of the day. You can keep a track of all the sets by clicking here: LRDI of the Day
#LRDIoftheDay #29
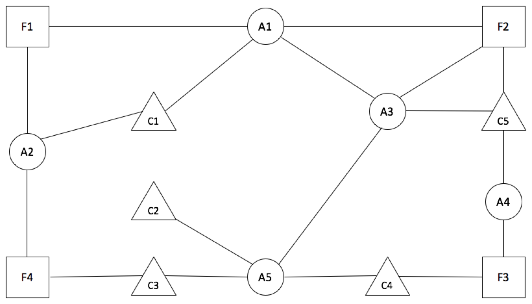
Walter White and Jesse Pinkman manufacture and distribute Blue Sky to five cartels headed by Krazy-8, Hector Salamanca, Gus Fring, Tortuga and Don Eladio coded as C1, C2, C3, C4 and C5 respectively. To cover up their operations, they have designed an intricate supply chain involving 4 factories F1, F2, F3 and F4 from where 5 intermediate agents A1, A2, A3, A4, and A5 transport Blue Sky to the five cartels coded as C1, C2, C3, C4 and C5. The entire network is as shown:
The capacities of F1, F2, F3 and F4 are 200 pounds, 300 pounds, 100 pounds and 500 pounds respectively. The requirement of Krazy-8, Tortuga and Don Eladio is 250 pounds, 200 pounds and 150 pounds respectively. The requirement of Hector Salamanca and Gus Fring is in the ratio of 3:2.
Assume that no agent keeps even a single gram of Blue Sky and gives away whatever he has to the next entity in the chain. Each factory distributes an equal amount to each agent/cartel that is connected to the factory. The motion occurs in one direction only along a single chain and once the demand of a cartel is satisfied, the remainder quantity moves out of the cartel. Basic supply chain rules apply and optimization is expected.
1. What is the ratio of the amount of Blue Sky that goes into C1 to that of the amount of Blue Sky that goes out of C1?
a. 5:2
b. 3:1
c. 2:1
d. 7:2
2. What is the requirement of Hector Salamanca’s cartel?
3. How much Blue Sky moves along the C5 – A3 channel?
4. What is the ratio of the amount of Blue Sky handled by A1 to that handled by A5?
a. 1:3
b. 2:3
c. 3:4
d. 5:9
The solution:
You may go through our popular courses here (at discounted prices): Full LRDI course for CAT 2017 (Rs. 1750 only) | Full VARC course for CAT 2017 (Rs. 1750 only) | Full Quant course for CAT 2017 (Rs. 3500 only) | CAT 2017 full course (Rs. 6000 only) | Current affairs and GK (Rs. 299 only)

